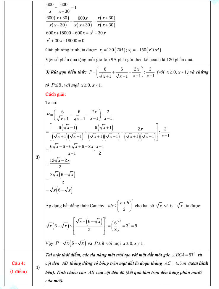
(ĐN) - Sáng 29-5, thí sinh tham gia Kỳ thi tuyển sinh lớp 10 trung học phổ thông năm học 2025-2026 đã hoàn thành bài thi môn Toán. Đề thi được đánh giá là bám sát chương trình Giáo dục phổ thông 2018, sát với đề minh họa trước đó của Sở Giáo dục và đào tạo. Một số giáo viên dự đoán phổ điểm môn Toán năm nay nằm ở mức 7,5-8,5 điểm.
Dưới đây là gợi ý bài giải do thầy Võ Quang Tiến, giáo viên môn Toán, cộng tác viên của tuyensinh247.com cung cấp.
|
|
||
![]() |
![]() |
![]() |
![]() |
![]() |
Hải Yến







![[Video] Chim cổ rắn quý hiếm làm tổ sinh sản tại Khu du lịch Bửu Long](/file/e7837c02876411cd0187645a2551379f/052026/screenshot_1779753581_20260526070110.jpeg?width=400&height=-&type=resize)


![[Khám phá Đồng Nai - Chạm 95] Xã Phước Thái](/file/e7837c02876411cd0187645a2551379f/052026/thum-phuoc-thai_20260525195641.jpg?width=400&height=-&type=resize)










Thông tin bạn đọc
Đóng Lưu thông tin